Back to Course

Math 8th grade

  1. Repeating decimals
    3 Topics
    |
    3 Quizzes
  2. Square roots & cube roots
    5 Topics
    |
    6 Quizzes
  3. Irrational numbers
    3 Topics
    |
    2 Quizzes
  4. Approximating irrational numbers
    4 Topics
    |
    3 Quizzes
  5. Exponents with negative bases
    6 Topics
    |
    3 Quizzes
  6. Exponent properties intro
    3 Topics
    |
    4 Quizzes
  7. Negative exponents
    2 Topics
    |
    1 Quiz
  8. Exponent properties (integer exponents)
    2 Topics
    |
    2 Quizzes
  9. Working with powers of 10
    2 Topics
    |
    2 Quizzes
  10. Scientific notation intro
    2 Topics
    |
    1 Quiz
  11. Arithmetic with numbers in scientific notation
    4 Topics
    |
    2 Quizzes
  12. Scientific notation word problems
    3 Topics
    |
    1 Quiz
  13. Equations with variables on both sides
    4 Topics
    |
    2 Quizzes
  14. Equations with parentheses
    1 Topic
    |
    2 Quizzes
  15. Number of solutions to equations
    4 Topics
    |
    2 Quizzes
  16. Equations word problems
    2 Topics
    |
    1 Quiz
  17. Graphing proportional relationships
    2 Topics
    |
    1 Quiz
  18. Solutions to linear equations
    4 Topics
    |
    2 Quizzes
  19. Intercepts
    5 Topics
    |
    2 Quizzes
  20. Slope
    8 Topics
    |
    3 Quizzes
  21. Intro to slope-intercept form
    2 Topics
    |
    1 Quiz
  22. Writing slope-intercept equations
    5 Topics
    |
    2 Quizzes
  23. Functions
    7 Topics
    |
    3 Quizzes
  24. Linear models
    7 Topics
    |
    3 Quizzes
  25. Comparing linear functions
    6 Topics
    |
    1 Quiz
  26. Constructing linear models for real-world relationships
    5 Topics
    |
    1 Quiz
  27. Recognizing functions
    9 Topics
    |
    2 Quizzes
  28. Linear and nonlinear functions
    5 Topics
    |
    2 Quizzes
  29. Intro to systems of equations
    3 Topics
    |
    1 Quiz
  30. Solving systems with substitution
    6 Topics
    |
    1 Quiz
  31. Number of solutions to systems of equations
    5 Topics
    |
    1 Quiz
  32. Systems of equations word problems
    7 Topics
    |
    2 Quizzes
  33. Angles between intersecting lines
    4 Topics
    |
    3 Quizzes
  34. Triangle angles
    7 Topics
    |
    3 Quizzes
  35. Pythagorean theorem
    3 Topics
    |
    4 Quizzes
  36. Pythagorean theorem application
    4 Topics
    |
    5 Quizzes
  37. Pythagorean theorem and distance between points
    1 Topic
    |
    1 Quiz
  38. Pythagorean theorem proofs
    4 Topics
  39. Volume
    3 Topics
    |
    4 Quizzes
  40. Transformations intro
    3 Topics
    |
    1 Quiz
  41. Translations
    3 Topics
    |
    1 Quiz
  42. Rotations
    2 Topics
    |
    2 Quizzes
  43. Reflections
    3 Topics
    |
    1 Quiz
  44. Properties & definitions of transformations
    3 Topics
    |
    3 Quizzes
  45. Dilations
    5 Topics
    |
    2 Quizzes
  46. Congruence and similarity
    4 Topics
    |
    2 Quizzes
  47. Introduction to scatter plots
    1 Topic
    |
    1 Quiz
  48. Interpreting scatter plots
    2 Topics
    |
    2 Quizzes
  49. Estimating lines of best fit
    4 Topics
    |
    3 Quizzes
  50. Two-way tables
    3 Topics
    |
    4 Quizzes
Quiz 32 of 107

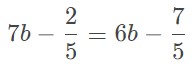
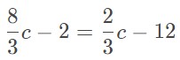
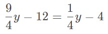
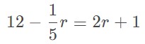
Equations with variables on both sides: decimals & fractions


Deprecated: is_quiz_accessable is deprecated since version 3.4.0! Use learndash_is_quiz_accessable instead. in /home/succes48/successtutoring.us/wp-includes/functions.php on line 5213